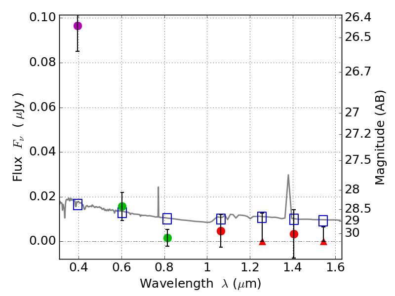
RXS0603+42-S IR detection object #3398

Color images and BPZ results
Catalog: 3398.cat
Black segments are analyzed here.   Roll mouse over color images to view segments.
Best viewed in a wide browser window (1200 pixels or more).   Download SED & P(z) plots to view larger versions.
In P(z) plots: Yellow lines mark the cluster redshift z = 0.228,  

Object #3398   x,y = (1657, 2878)   RA, Dec = (06:03:30.960, 42:10:18.84) = (90.87900, 42.17190)   BPZ = 1.764 [0.707--2.615]   type = 11.00 (SB11_A_0_l)   stellarity = 0.47   chisq2 = 14.05   ODDS = 0.30   z_cluster = 0.228