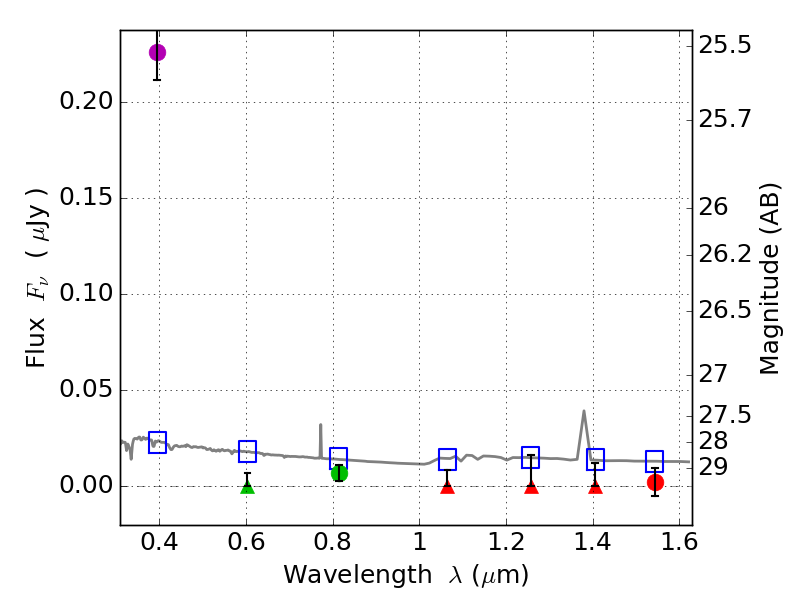
RXS0603+42-S IR detection object #3377

Color images and BPZ results
Catalog: 3377.cat
Black segments are analyzed here.   Roll mouse over color images to view segments.
Best viewed in a wide browser window (1200 pixels or more).   Download SED & P(z) plots to view larger versions.
In P(z) plots: Yellow lines mark the cluster redshift z = 0.228,  

Object #3377   x,y = (1657, 2886)   RA, Dec = (06:03:30.960, 42:10:19.56) = (90.87900, 42.17210)   BPZ = 1.763 [0.998--2.287]   type = 11.00 (SB11_A_0_l)   stellarity = 0.64   chisq2 = 50.05   ODDS = 0.40   z_cluster = 0.228