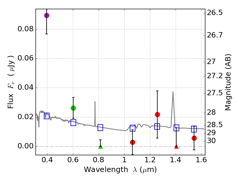
RXS0603+42-S IR detection object #3371

Color images and BPZ results
Catalog: 3371.cat
Black segments are analyzed here.   Roll mouse over color images to view segments.
Best viewed in a wide browser window (1200 pixels or more).   Download SED & P(z) plots to view larger versions.
In P(z) plots: Yellow lines mark the cluster redshift z = 0.228,  

Object #3371   x,y = (2496, 2912)   RA, Dec = (06:03:26.448, 42:10:21.00) = (90.86020, 42.17250)   BPZ = 1.762 [0.869--2.537]   type = 11.00 (SB11_A_0_l)   stellarity = 0.36   chisq2 = 10.45   ODDS = 0.31   z_cluster = 0.228