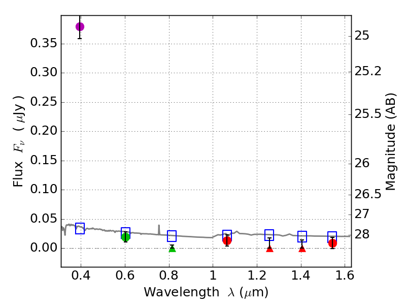
RXS0603+42-S IR detection object #3355

Color images and BPZ results
Catalog: 3355.cat
Black segments are analyzed here.   Roll mouse over color images to view segments.
Best viewed in a wide browser window (1200 pixels or more).   Download SED & P(z) plots to view larger versions.
In P(z) plots: Yellow lines mark the cluster redshift z = 0.228,  

Object #3355   x,y = (1744, 2903)   RA, Dec = (06:03:30.504, 42:10:20.64) = (90.87710, 42.17240)   BPZ = 1.702 [1.341--2.177]   type = 11.00 (SB11_A_0_l)   stellarity = 0.70   chisq2 = 68.71   ODDS = 0.51   z_cluster = 0.228