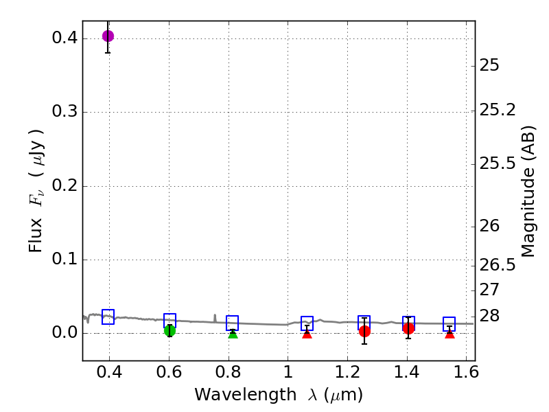
RXS0603+42-S IR detection object #3306

Color images and BPZ results
Catalog: 3306.cat
Black segments are analyzed here.   Roll mouse over color images to view segments.
Best viewed in a wide browser window (1200 pixels or more).   Download SED & P(z) plots to view larger versions.
In P(z) plots: Yellow lines mark the cluster redshift z = 0.228,  

Object #3306   x,y = (1714, 2925)   RA, Dec = (06:03:30.672, 42:10:21.72) = (90.87780, 42.17270)   BPZ = 1.699 [0.848--2.472]   type = 11.00 (SB11_A_0_l)   stellarity = 0.70   chisq2 = 68.95   ODDS = 0.34   z_cluster = 0.228