RXS0603+42-S IR detection object #3293

Color images and BPZ results
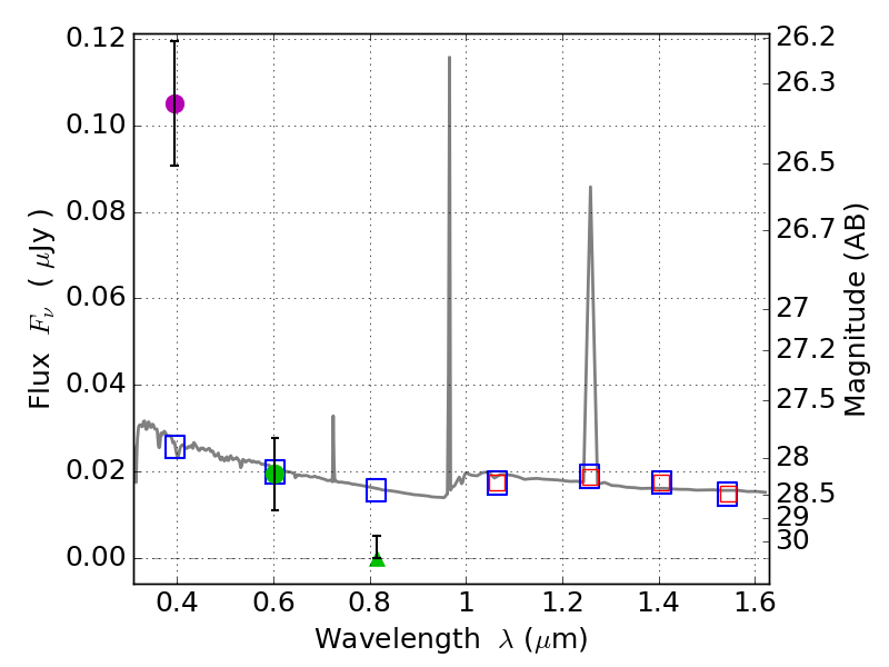
Catalog: 3293.cat
Black segments are analyzed here.   Roll mouse over color images to view segments.
Best viewed in a wide browser window (1200 pixels or more).   Download SED & P(z) plots to view larger versions.
In P(z) plots: Yellow lines mark the cluster redshift z = 0.228,  

Object #3293   x,y = (3963, 2928)   RA, Dec = (06:03:18.528, 42:10:22.08) = (90.82720, 42.17280)   BPZ = 1.595 [0.954--2.429]   type = 11.00 (SB11_A_0_l)   stellarity = 0.39   chisq2 = 38.21   ODDS = 0.25   z_cluster = 0.228