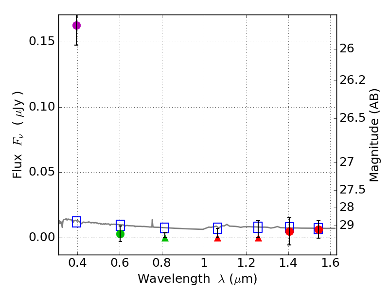
RXS0603+42-S IR detection object #3261

Color images and BPZ results
Catalog: 3261.cat
Black segments are analyzed here.   Roll mouse over color images to view segments.
Best viewed in a wide browser window (1200 pixels or more).   Download SED & P(z) plots to view larger versions.
In P(z) plots: Yellow lines mark the cluster redshift z = 0.228,  

Object #3261   x,y = (1740, 2934)   RA, Dec = (06:03:30.528, 42:10:22.44) = (90.87720, 42.17290)   BPZ = 1.698 [0.471--5.531]   type = 11.00 (SB11_A_0_l)   stellarity = 0.49   chisq2 = 25.38   ODDS = 0.16   z_cluster = 0.228