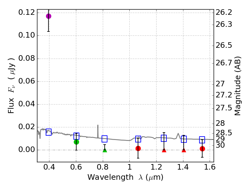
RXS0603+42-S IR detection object #3241

Color images and BPZ results
Catalog: 3241.cat
Black segments are analyzed here.   Roll mouse over color images to view segments.
Best viewed in a wide browser window (1200 pixels or more).   Download SED & P(z) plots to view larger versions.
In P(z) plots: Yellow lines mark the cluster redshift z = 0.228,  

Object #3241   x,y = (2284, 2945)   RA, Dec = (06:03:27.576, 42:10:23.16) = (90.86490, 42.17310)   BPZ = 1.732 [0.442--4.041]   type = 11.00 (SB11_A_0_l)   stellarity = 0.39   chisq2 = 15.75   ODDS = 0.21   z_cluster = 0.228