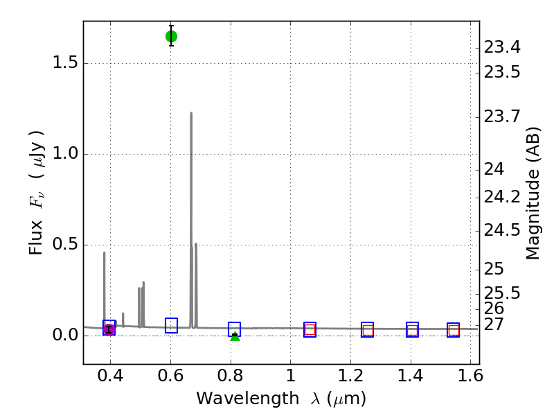
RXS0603+42-S IR detection object #3228

Color images and BPZ results
Catalog: 3228.cat
Black segments are analyzed here.   Roll mouse over color images to view segments.
Best viewed in a wide browser window (1200 pixels or more).   Download SED & P(z) plots to view larger versions.
In P(z) plots: Yellow lines mark the cluster redshift z = 0.228,  

Object #3228   x,y = (1382, 2950)   RA, Dec = (06:03:32.448, 42:10:23.16) = (90.88520, 42.17310)   BPZ = 0.024 [0.011--2.555]   type = 11.00 (SB11_A_0_l)   stellarity = 0.70   chisq2 = 903.20   ODDS = 0.71   z_cluster = 0.228