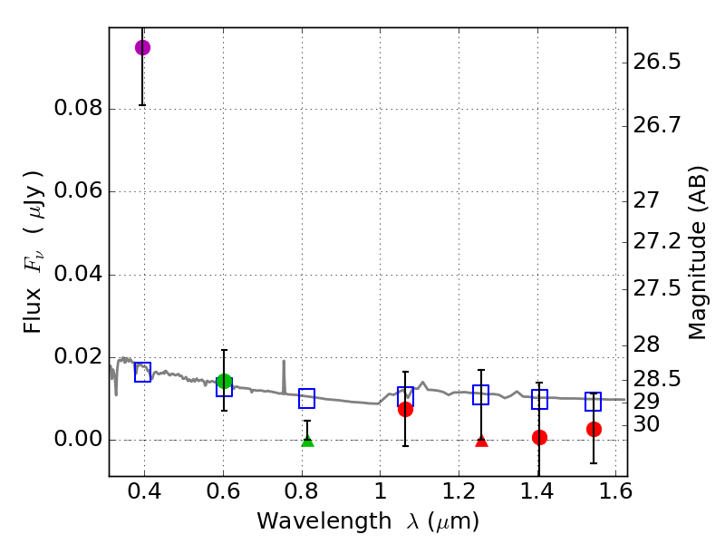
RXS0603+42-S IR detection object #3214

Color images and BPZ results
Catalog: 3214.cat
Black segments are analyzed here.   Roll mouse over color images to view segments.
Best viewed in a wide browser window (1200 pixels or more).   Download SED & P(z) plots to view larger versions.
In P(z) plots: Yellow lines mark the cluster redshift z = 0.228,  

Object #3214   x,y = (3193, 2955)   RA, Dec = (06:03:22.680, 42:10:23.52) = (90.84450, 42.17320)   BPZ = 1.702 [0.405--3.161]   type = 11.00 (SB11_A_0_l)   stellarity = 0.43   chisq2 = 9.33   ODDS = 0.21   z_cluster = 0.228