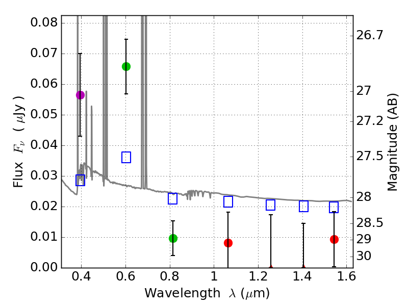
RXS0603+42-S IR detection object #3166

Color images and BPZ results
Catalog: 3166.cat
Black segments are analyzed here.   Roll mouse over color images to view segments.
Best viewed in a wide browser window (1200 pixels or more).   Download SED & P(z) plots to view larger versions.
In P(z) plots: Yellow lines mark the cluster redshift z = 0.228,  

Object #3166   x,y = (2183, 2968)   RA, Dec = (06:03:28.128, 42:10:24.24) = (90.86720, 42.17340)   BPZ = 0.030 [0.020--2.851]   type = 11.00 (SB11_A_0_l)   stellarity = 0.37   chisq2 = 6.26   ODDS = 0.13   z_cluster = 0.228