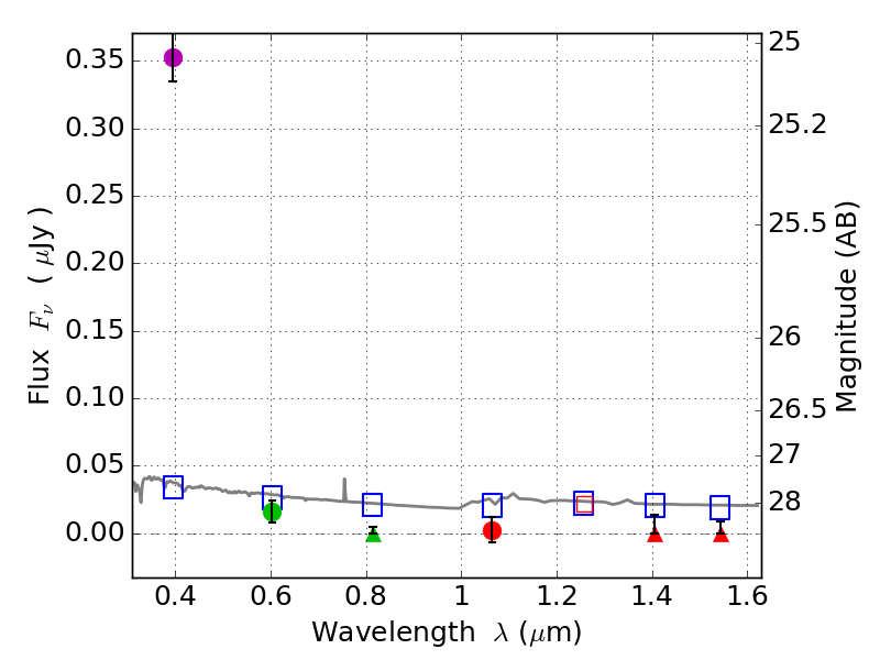
RXS0603+42-S IR detection object #3152

Color images and BPZ results
Catalog: 3152.cat
Black segments are analyzed here.   Roll mouse over color images to view segments.
Best viewed in a wide browser window (1200 pixels or more).   Download SED & P(z) plots to view larger versions.
In P(z) plots: Yellow lines mark the cluster redshift z = 0.228,  

Object #3152   x,y = (1996, 2979)   RA, Dec = (06:03:29.136, 42:10:24.96) = (90.87140, 42.17360)   BPZ = 1.699 [1.454--2.100]   type = 11.00 (SB11_A_0_l)   stellarity = 0.72   chisq2 = 109.60   ODDS = 0.60   z_cluster = 0.228