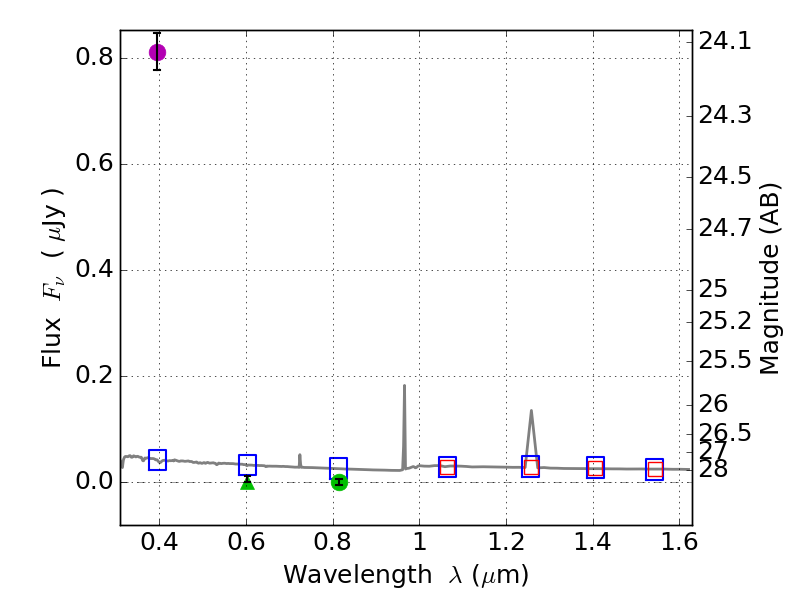
RXS0603+42-S IR detection object #3126

Color images and BPZ results
Catalog: 3126.cat
Black segments are analyzed here.   Roll mouse over color images to view segments.
Best viewed in a wide browser window (1200 pixels or more).   Download SED & P(z) plots to view larger versions.
In P(z) plots: Yellow lines mark the cluster redshift z = 0.228,  

Object #3126   x,y = (1412, 2989)   RA, Dec = (06:03:32.280, 42:10:25.68) = (90.88450, 42.17380)   BPZ = 1.594 [1.244--2.114]   type = 11.00 (SB11_A_0_l)   stellarity = 0.98   chisq2 = 519.30   ODDS = 0.38   z_cluster = 0.228