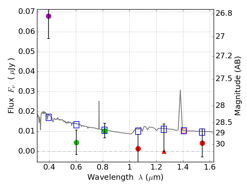
RXS0603+42-S IR detection object #3098

Color images and BPZ results
Catalog: 3098.cat
Black segments are analyzed here.   Roll mouse over color images to view segments.
Best viewed in a wide browser window (1200 pixels or more).   Download SED & P(z) plots to view larger versions.
In P(z) plots: Yellow lines mark the cluster redshift z = 0.228,  

Object #3098   x,y = (2650, 3007)   RA, Dec = (06:03:25.608, 42:10:26.76) = (90.85670, 42.17410)   BPZ = 1.762 [0.315--2.780]   type = 11.00 (SB11_A_0_l)   stellarity = 0.36   chisq2 = 8.26   ODDS = 0.18   z_cluster = 0.228