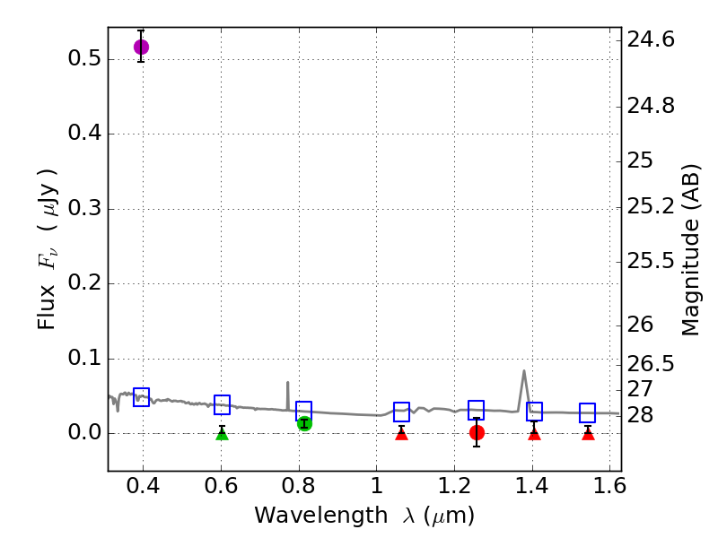
RXS0603+42-S IR detection object #3073

Color images and BPZ results
Catalog: 3073.cat
Black segments are analyzed here.   Roll mouse over color images to view segments.
Best viewed in a wide browser window (1200 pixels or more).   Download SED & P(z) plots to view larger versions.
In P(z) plots: Yellow lines mark the cluster redshift z = 0.228,  

Object #3073   x,y = (1731, 3024)   RA, Dec = (06:03:30.576, 42:10:27.84) = (90.87740, 42.17440)   BPZ = 1.762 [1.569--2.039]   type = 11.00 (SB11_A_0_l)   stellarity = 0.79   chisq2 = 131.20   ODDS = 0.63   z_cluster = 0.228