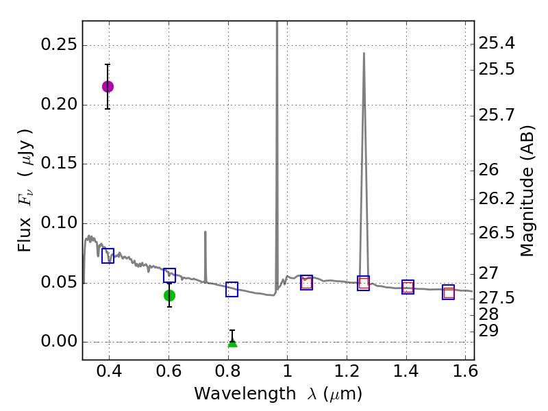
RXS0603+42-S IR detection object #3071

Color images and BPZ results
Catalog: 3071.cat
Black segments are analyzed here.   Roll mouse over color images to view segments.
Best viewed in a wide browser window (1200 pixels or more).   Download SED & P(z) plots to view larger versions.
In P(z) plots: Yellow lines mark the cluster redshift z = 0.228,  

Object #3071   x,y = (4147, 3018)   RA, Dec = (06:03:17.520, 42:10:27.48) = (90.82300, 42.17430)   BPZ = 1.593 [1.277--2.036]   type = 11.00 (SB11_A_0_l)   stellarity = 0.64   chisq2 = 72.21   ODDS = 0.42   z_cluster = 0.228