RXS0603+42-S IR detection object #3069

Color images and BPZ results
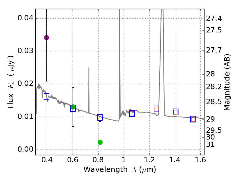
Catalog: 3069.cat
Black segments are analyzed here.   Roll mouse over color images to view segments.
Best viewed in a wide browser window (1200 pixels or more).   Download SED & P(z) plots to view larger versions.
In P(z) plots: Yellow lines mark the cluster redshift z = 0.228,  

Object #3069   x,y = (4150, 3014)   RA, Dec = (06:03:17.520, 42:10:27.12) = (90.82300, 42.17420)   BPZ = 1.596 [0.343--4.385]   type = 11.00 (SB11_A_0_l)   stellarity = 0.36   chisq2 = 3.23   ODDS = 0.11   z_cluster = 0.228