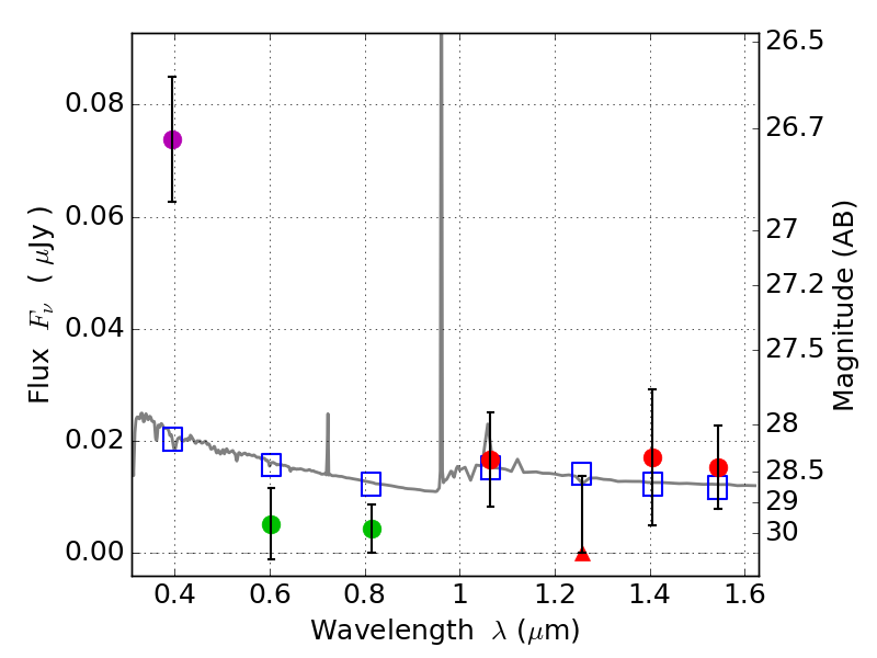
RXS0603+42-S IR detection object #3050

Color images and BPZ results
Catalog: 3050.cat
Black segments are analyzed here.   Roll mouse over color images to view segments.
Best viewed in a wide browser window (1200 pixels or more).   Download SED & P(z) plots to view larger versions.
In P(z) plots: Yellow lines mark the cluster redshift z = 0.228,  

Object #3050   x,y = (2195, 3030)   RA, Dec = (06:03:28.056, 42:10:28.20) = (90.86690, 42.17450)   BPZ = 1.584 [0.742--2.490]   type = 11.00 (SB11_A_0_l)   stellarity = 0.37   chisq2 = 7.48   ODDS = 0.20   z_cluster = 0.228