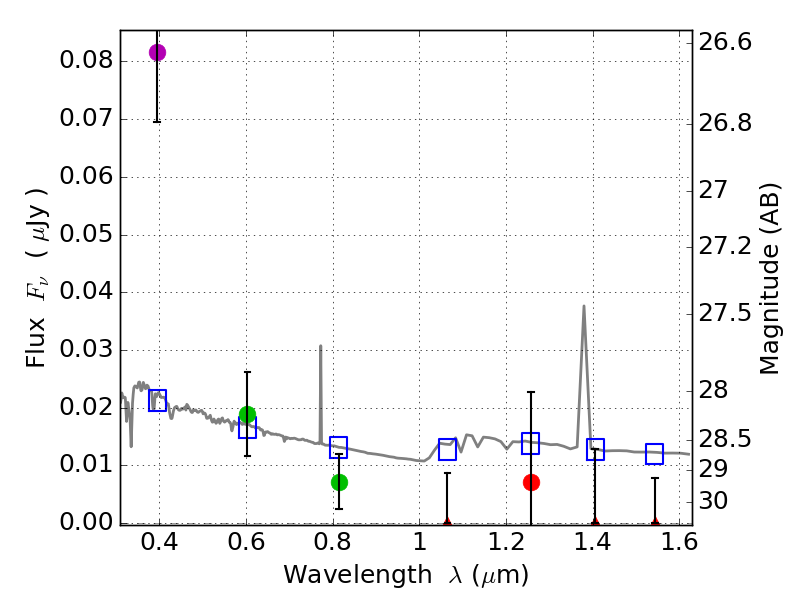
RXS0603+42-S IR detection object #3026

Color images and BPZ results
Catalog: 3026.cat
Black segments are analyzed here.   Roll mouse over color images to view segments.
Best viewed in a wide browser window (1200 pixels or more).   Download SED & P(z) plots to view larger versions.
In P(z) plots: Yellow lines mark the cluster redshift z = 0.228,  

Object #3026   x,y = (2169, 3040)   RA, Dec = (06:03:28.200, 42:10:28.56) = (90.86750, 42.17460)   BPZ = 1.763 [0.500--2.636]   type = 11.00 (SB11_A_0_l)   stellarity = 0.37   chisq2 = 7.84   ODDS = 0.28   z_cluster = 0.228