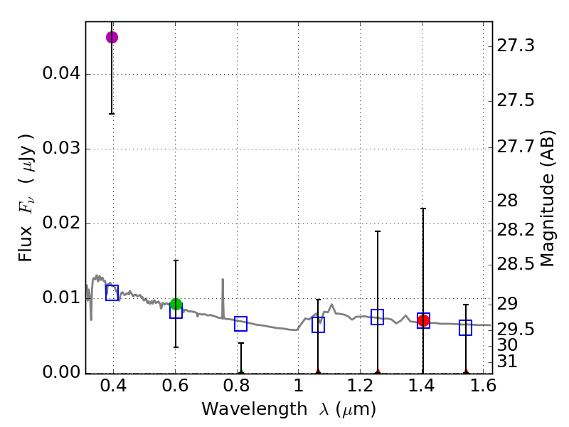
RXS0603+42-S IR detection object #3025

Color images and BPZ results
Catalog: 3025.cat
Black segments are analyzed here.   Roll mouse over color images to view segments.
Best viewed in a wide browser window (1200 pixels or more).   Download SED & P(z) plots to view larger versions.
In P(z) plots: Yellow lines mark the cluster redshift z = 0.228,  

Object #3025   x,y = (2488, 3042)   RA, Dec = (06:03:26.472, 42:10:28.92) = (90.86030, 42.17470)   BPZ = 1.697 [0.310--5.643]   type = 11.00 (SB11_A_0_l)   stellarity = 0.43   chisq2 = 3.68   ODDS = 0.12   z_cluster = 0.228