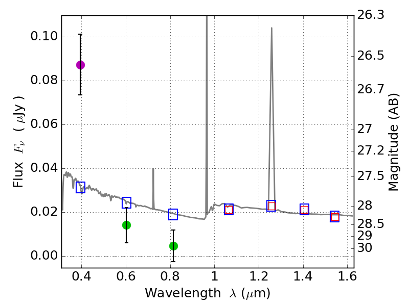
RXS0603+42-S IR detection object #2924

Color images and BPZ results
Catalog: 2924.cat
Black segments are analyzed here.   Roll mouse over color images to view segments.
Best viewed in a wide browser window (1200 pixels or more).   Download SED & P(z) plots to view larger versions.
In P(z) plots: Yellow lines mark the cluster redshift z = 0.228,  

Object #2924   x,y = (4062, 3082)   RA, Dec = (06:03:18.000, 42:10:31.08) = (90.82500, 42.17530)   BPZ = 1.595 [0.844--2.409]   type = 11.00 (SB11_A_0_l)   stellarity = 0.36   chisq2 = 21.26   ODDS = 0.22   z_cluster = 0.228