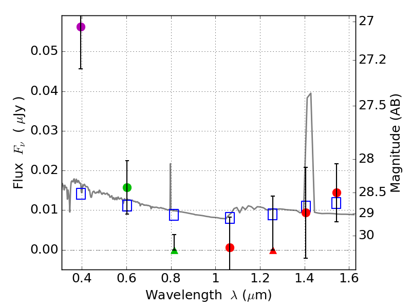
RXS0603+42-S IR detection object #2920

Color images and BPZ results
Catalog: 2920.cat
Black segments are analyzed here.   Roll mouse over color images to view segments.
Best viewed in a wide browser window (1200 pixels or more).   Download SED & P(z) plots to view larger versions.
In P(z) plots: Yellow lines mark the cluster redshift z = 0.228,  

Object #2920   x,y = (2762, 3083)   RA, Dec = (06:03:25.008, 42:10:31.44) = (90.85420, 42.17540)   BPZ = 1.854 [0.559--2.977]   type = 11.00 (SB11_A_0_l)   stellarity = 0.37   chisq2 = 5.66   ODDS = 0.18   z_cluster = 0.228