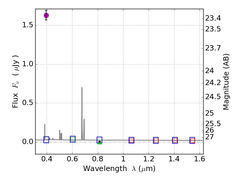
RXS0603+42-S IR detection object #2915

Color images and BPZ results
Catalog: 2915.cat
Black segments are analyzed here.   Roll mouse over color images to view segments.
Best viewed in a wide browser window (1200 pixels or more).   Download SED & P(z) plots to view larger versions.
In P(z) plots: Yellow lines mark the cluster redshift z = 0.228,  

Object #2915   x,y = (1242, 3085)   RA, Dec = (06:03:33.216, 42:10:31.44) = (90.88840, 42.17540)   BPZ = 0.027 [0.013--0.799]   type = 11.00 (SB11_A_0_l)   stellarity = 1.00   chisq2 = 674.20   ODDS = 0.38   z_cluster = 0.228