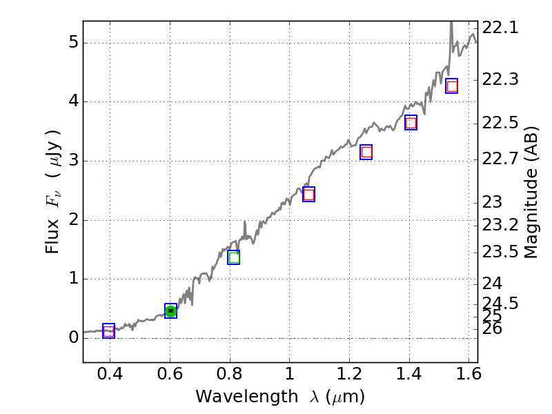
RXS0603+42-S IR detection object #2907

Color images and BPZ results
Catalog: 2907.cat
Black segments are analyzed here.   Roll mouse over color images to view segments.
Best viewed in a wide browser window (1200 pixels or more).   Download SED & P(z) plots to view larger versions.
In P(z) plots: Yellow lines mark the cluster redshift z = 0.228,  

Object #2907   x,y = (4345, 3072)   RA, Dec = (06:03:16.464, 42:10:30.72) = (90.81860, 42.17520)   BPZ = 0.701 [0.173--4.032]   type = 6.00 (Sbc_B10)   stellarity = 1.00   chisq2 = 990.00   ODDS = 0.09   z_cluster = 0.228