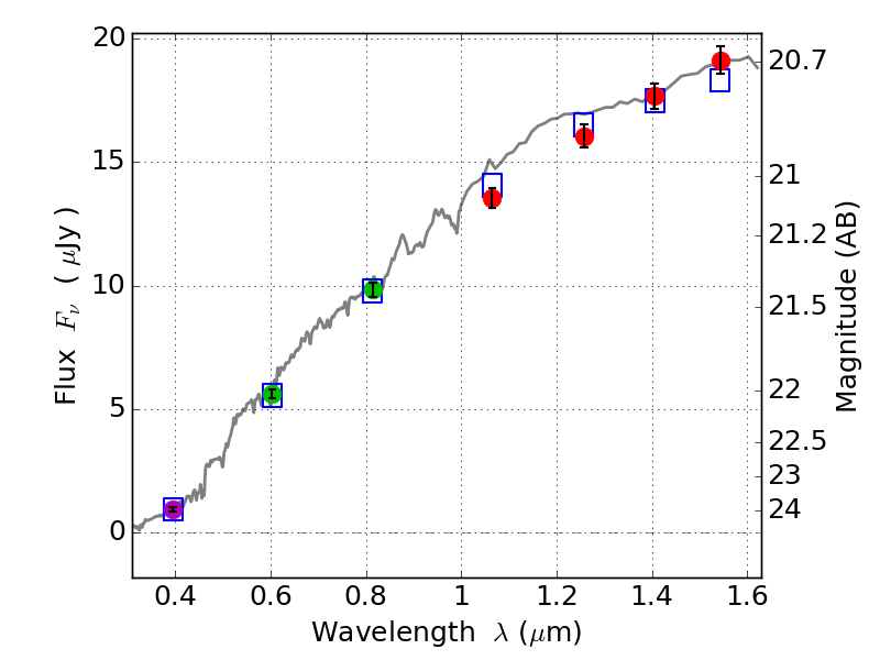
RXS0603+42-S IR detection object #2900

Color images and BPZ results
Catalog: 2900.cat
Black segments are analyzed here.   Roll mouse over color images to view segments.
Best viewed in a wide browser window (1200 pixels or more).   Download SED & P(z) plots to view larger versions.
In P(z) plots: Yellow lines mark the cluster redshift z = 0.228,  

Object #2900   x,y = (3151, 3075)   RA, Dec = (06:03:22.896, 42:10:30.72) = (90.84540, 42.17520)   BPZ = 0.161 [0.083--0.206]   type = 4.10 (Ell4_A_0 - ES0_B10)   stellarity = 0.03   chisq2 = 0.17   ODDS = 0.79   z_cluster = 0.228