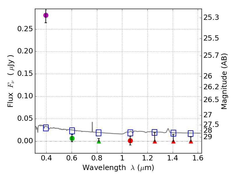
RXS0603+42-S IR detection object #2898

Color images and BPZ results
Catalog: 2898.cat
Black segments are analyzed here.   Roll mouse over color images to view segments.
Best viewed in a wide browser window (1200 pixels or more).   Download SED & P(z) plots to view larger versions.
In P(z) plots: Yellow lines mark the cluster redshift z = 0.228,  

Object #2898   x,y = (2383, 3090)   RA, Dec = (06:03:27.048, 42:10:31.80) = (90.86270, 42.17550)   BPZ = 1.732 [1.248--2.217]   type = 11.00 (SB11_A_0_l)   stellarity = 0.63   chisq2 = 56.98   ODDS = 0.48   z_cluster = 0.228