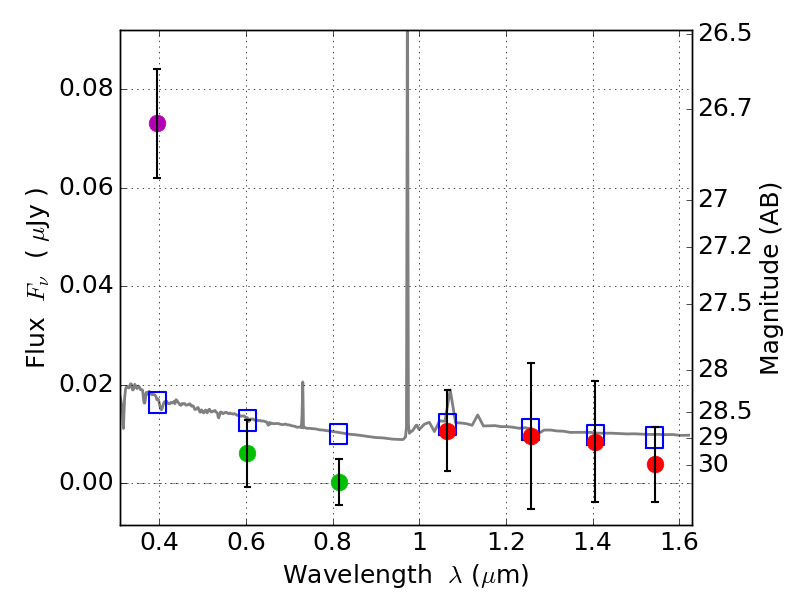
RXS0603+42-S IR detection object #2893

Color images and BPZ results
Catalog: 2893.cat
Black segments are analyzed here.   Roll mouse over color images to view segments.
Best viewed in a wide browser window (1200 pixels or more).   Download SED & P(z) plots to view larger versions.
In P(z) plots: Yellow lines mark the cluster redshift z = 0.228,  

Object #2893   x,y = (2472, 3093)   RA, Dec = (06:03:26.568, 42:10:31.80) = (90.86070, 42.17550)   BPZ = 1.612 [0.583--3.074]   type = 11.00 (SB11_A_0_l)   stellarity = 0.36   chisq2 = 7.91   ODDS = 0.21   z_cluster = 0.228