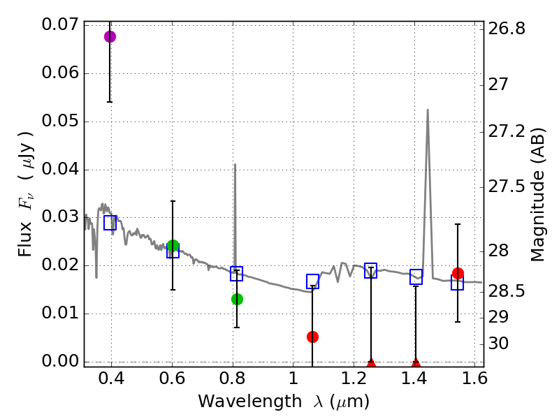
RXS0603+42-S IR detection object #2876

Color images and BPZ results
Catalog: 2876.cat
Black segments are analyzed here.   Roll mouse over color images to view segments.
Best viewed in a wide browser window (1200 pixels or more).   Download SED & P(z) plots to view larger versions.
In P(z) plots: Yellow lines mark the cluster redshift z = 0.228,  

Object #2876   x,y = (2374, 3107)   RA, Dec = (06:03:27.096, 42:10:32.88) = (90.86290, 42.17580)   BPZ = 1.894 [0.504--2.731]   type = 11.00 (SB11_A_0_l)   stellarity = 0.36   chisq2 = 2.99   ODDS = 0.21   z_cluster = 0.228