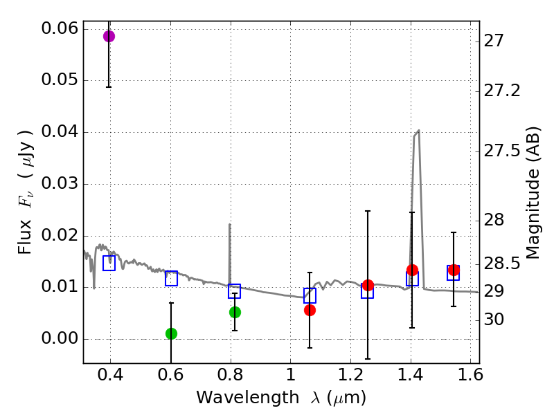
RXS0603+42-S IR detection object #2863

Color images and BPZ results
Catalog: 2863.cat
Black segments are analyzed here.   Roll mouse over color images to view segments.
Best viewed in a wide browser window (1200 pixels or more).   Download SED & P(z) plots to view larger versions.
In P(z) plots: Yellow lines mark the cluster redshift z = 0.228,  

Object #2863   x,y = (2591, 3069)   RA, Dec = (06:03:25.920, 42:10:30.36) = (90.85800, 42.17510)   BPZ = 1.853 [0.581--2.858]   type = 11.00 (SB11_A_0_l)   stellarity = 0.46   chisq2 = 5.97   ODDS = 0.17   z_cluster = 0.228