RXS0603+42-S IR detection object #2855

Color images and BPZ results
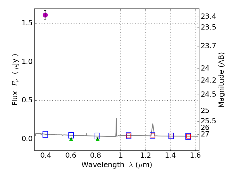
Catalog: 2855.cat
Black segments are analyzed here.   Roll mouse over color images to view segments.
Best viewed in a wide browser window (1200 pixels or more).   Download SED & P(z) plots to view larger versions.
In P(z) plots: Yellow lines mark the cluster redshift z = 0.228,  

Object #2855   x,y = (4201, 3119)   RA, Dec = (06:03:17.232, 42:10:33.60) = (90.82180, 42.17600)   BPZ = 1.592 [0.977--2.082]   type = 11.00 (SB11_A_0_l)   stellarity = 0.99   chisq2 = 778.80   ODDS = 0.29   z_cluster = 0.228