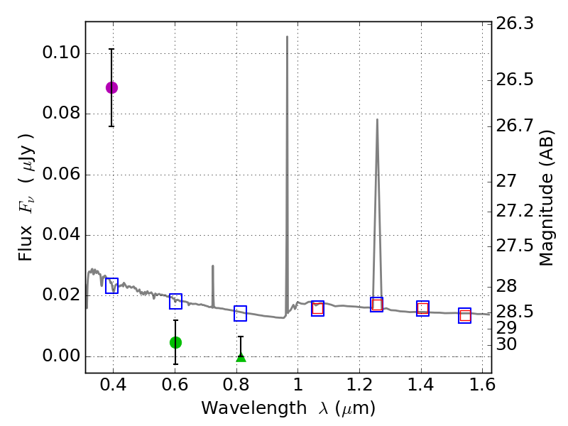
RXS0603+42-S IR detection object #2815

Color images and BPZ results
Catalog: 2815.cat
Black segments are analyzed here.   Roll mouse over color images to view segments.
Best viewed in a wide browser window (1200 pixels or more).   Download SED & P(z) plots to view larger versions.
In P(z) plots: Yellow lines mark the cluster redshift z = 0.228,  

Object #2815   x,y = (4045, 3139)   RA, Dec = (06:03:18.072, 42:10:34.68) = (90.82530, 42.17630)   BPZ = 1.595 [0.715--2.538]   type = 11.00 (SB11_A_0_l)   stellarity = 0.49   chisq2 = 33.75   ODDS = 0.20   z_cluster = 0.228