RXS0603+42-S IR detection object #2796

Color images and BPZ results
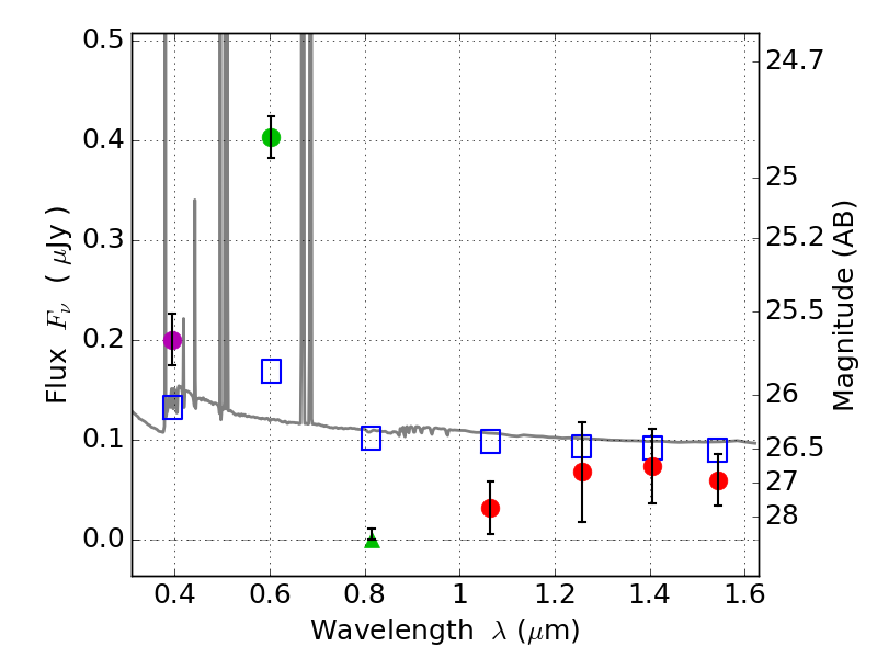
Catalog: 2796.cat
Black segments are analyzed here.   Roll mouse over color images to view segments.
Best viewed in a wide browser window (1200 pixels or more).   Download SED & P(z) plots to view larger versions.
In P(z) plots: Yellow lines mark the cluster redshift z = 0.228,  

Object #2796   x,y = (2386, 3148)   RA, Dec = (06:03:27.024, 42:10:35.04) = (90.86260, 42.17640)   BPZ = 0.018 [0.010--0.038]   type = 11.00 (SB11_A_0_l)   stellarity = 0.70   chisq2 = 37.73   ODDS = 1.00   z_cluster = 0.228