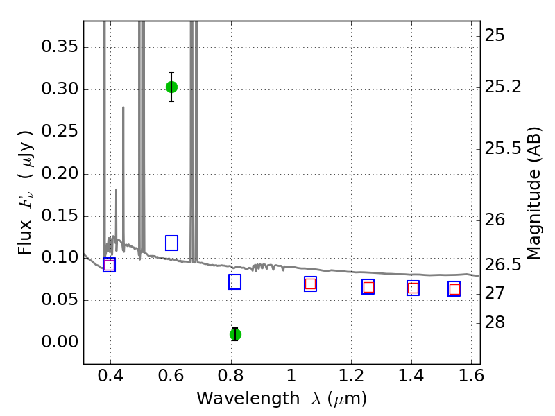
RXS0603+42-S IR detection object #279

Color images and BPZ results
Catalog: 279.cat
Black segments are analyzed here.   Roll mouse over color images to view segments.
Best viewed in a wide browser window (1200 pixels or more).   Download SED & P(z) plots to view larger versions.
In P(z) plots: Yellow lines mark the cluster redshift z = 0.228,  

Object #279   x,y = (2475, 4224)   RA, Dec = (06:03:26.544, 42:11:39.84) = (90.86060, 42.19440)   BPZ = 0.019 [0.010--0.040]   type = 11.00 (SB11_A_0_l)   stellarity = 0.99   chisq2 = 130.10   ODDS = 1.00   z_cluster = 0.228