RXS0603+42-S IR detection object #2774

Color images and BPZ results
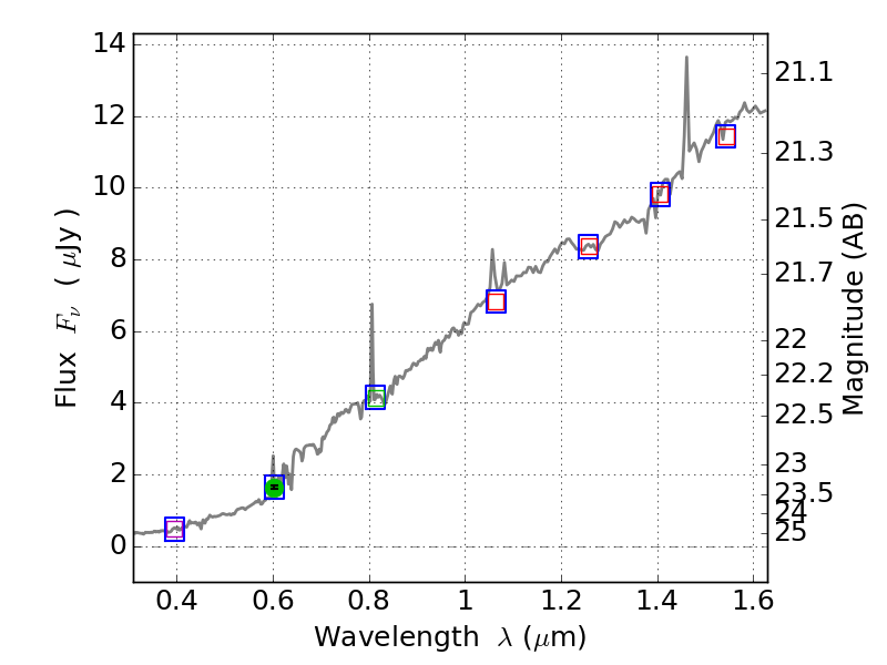
Catalog: 2774.cat
Black segments are analyzed here.   Roll mouse over color images to view segments.
Best viewed in a wide browser window (1200 pixels or more).   Download SED & P(z) plots to view larger versions.
In P(z) plots: Yellow lines mark the cluster redshift z = 0.228,  

Object #2774   x,y = (4366, 3158)   RA, Dec = (06:03:16.344, 42:10:35.76) = (90.81810, 42.17660)   BPZ = 0.609 [0.141--2.922]   type = 6.30 (Sbc_B10 - Scd_B10)   stellarity = 0.91   chisq2 = 990.00   ODDS = 0.11   z_cluster = 0.228