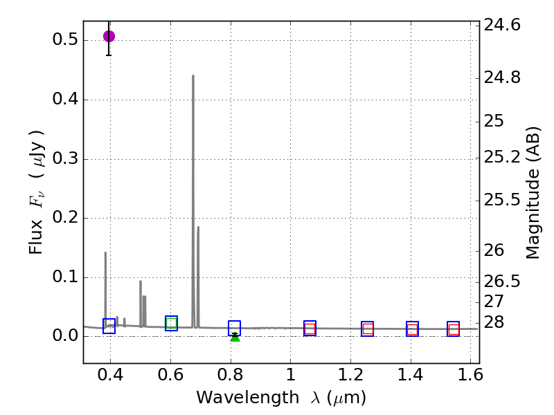
RXS0603+42-S IR detection object #2773

Color images and BPZ results
Catalog: 2773.cat
Black segments are analyzed here.   Roll mouse over color images to view segments.
Best viewed in a wide browser window (1200 pixels or more).   Download SED & P(z) plots to view larger versions.
In P(z) plots: Yellow lines mark the cluster redshift z = 0.228,  

Object #2773   x,y = (1253, 3161)   RA, Dec = (06:03:33.144, 42:10:36.12) = (90.88810, 42.17670)   BPZ = 0.031 [0.019--0.839]   type = 11.00 (SB11_A_0_l)   stellarity = 0.66   chisq2 = 218.90   ODDS = 0.18   z_cluster = 0.228