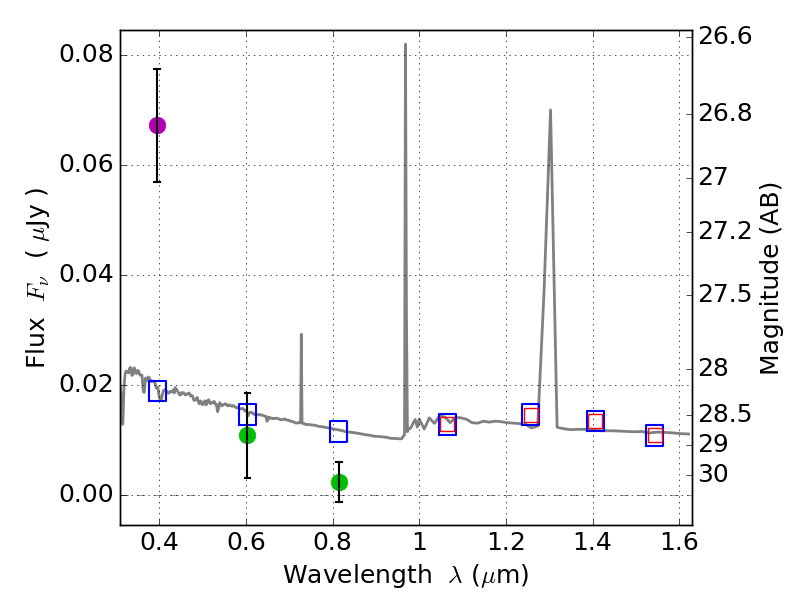
RXS0603+42-S IR detection object #2744

Color images and BPZ results
Catalog: 2744.cat
Black segments are analyzed here.   Roll mouse over color images to view segments.
Best viewed in a wide browser window (1200 pixels or more).   Download SED & P(z) plots to view larger versions.
In P(z) plots: Yellow lines mark the cluster redshift z = 0.228,  

Object #2744   x,y = (1476, 3180)   RA, Dec = (06:03:31.944, 42:10:37.20) = (90.88310, 42.17700)   BPZ = 1.596 [0.826--2.548]   type = 11.00 (SB11_A_0_l)   stellarity = 0.39   chisq2 = 27.56   ODDS = 0.22   z_cluster = 0.228