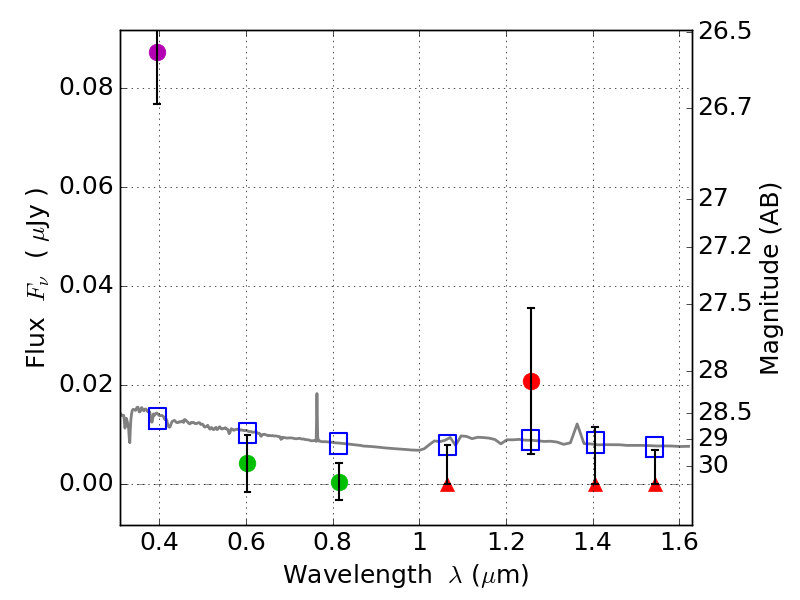
RXS0603+42-S IR detection object #2725

Color images and BPZ results
Catalog: 2725.cat
Black segments are analyzed here.   Roll mouse over color images to view segments.
Best viewed in a wide browser window (1200 pixels or more).   Download SED & P(z) plots to view larger versions.
In P(z) plots: Yellow lines mark the cluster redshift z = 0.228,  

Object #2725   x,y = (1659, 3189)   RA, Dec = (06:03:30.960, 42:10:37.56) = (90.87900, 42.17710)   BPZ = 1.729 [0.572--4.409]   type = 11.00 (SB11_A_0_l)   stellarity = 0.45   chisq2 = 14.17   ODDS = 0.24   z_cluster = 0.228