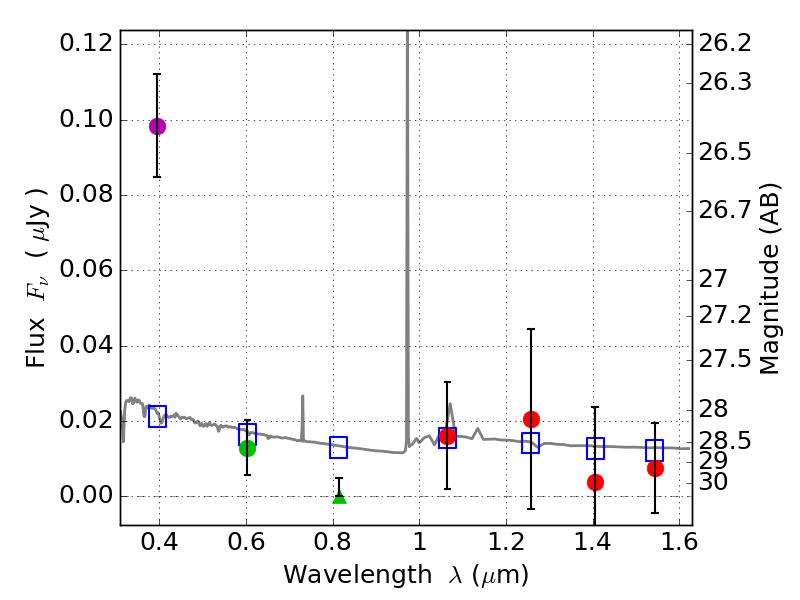
RXS0603+42-S IR detection object #2715

Color images and BPZ results
Catalog: 2715.cat
Black segments are analyzed here.   Roll mouse over color images to view segments.
Best viewed in a wide browser window (1200 pixels or more).   Download SED & P(z) plots to view larger versions.
In P(z) plots: Yellow lines mark the cluster redshift z = 0.228,  

Object #2715   x,y = (3549, 3282)   RA, Dec = (06:03:20.760, 42:10:43.32) = (90.83650, 42.17870)   BPZ = 1.612 [0.708--2.532]   type = 11.00 (SB11_A_0_l)   stellarity = 0.36   chisq2 = 9.73   ODDS = 0.25   z_cluster = 0.228