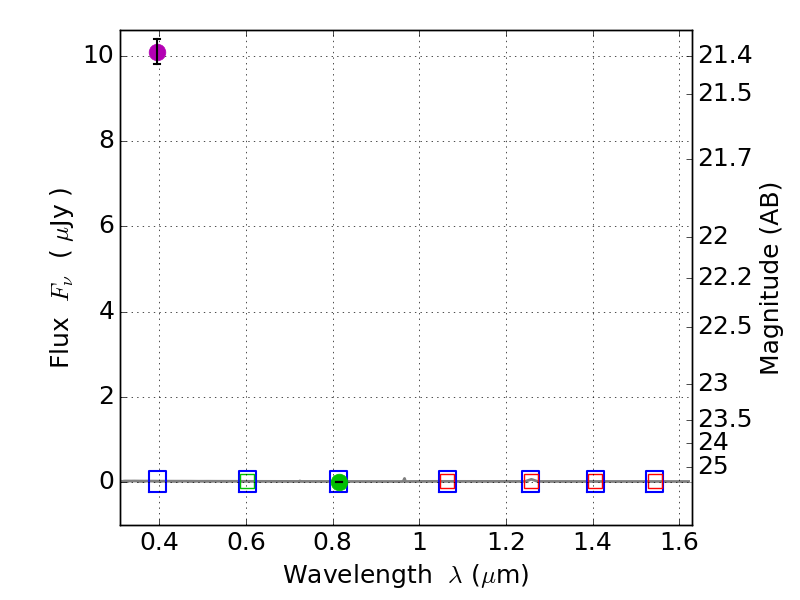
RXS0603+42-S IR detection object #2712

Color images and BPZ results
Catalog: 2712.cat
Black segments are analyzed here.   Roll mouse over color images to view segments.
Best viewed in a wide browser window (1200 pixels or more).   Download SED & P(z) plots to view larger versions.
In P(z) plots: Yellow lines mark the cluster redshift z = 0.228,  

Object #2712   x,y = (1284, 3195)   RA, Dec = (06:03:32.976, 42:10:37.92) = (90.88740, 42.17720)   BPZ = 1.591 [0.376--9.400]   type = 11.00 (SB11_A_0_l)   stellarity = 0.99   chisq2 = 1147.00   ODDS = 0.06   z_cluster = 0.228