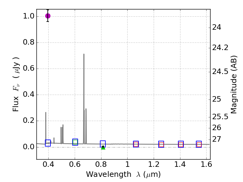
RXS0603+42-S IR detection object #2707

Color images and BPZ results
Catalog: 2707.cat
Black segments are analyzed here.   Roll mouse over color images to view segments.
Best viewed in a wide browser window (1200 pixels or more).   Download SED & P(z) plots to view larger versions.
In P(z) plots: Yellow lines mark the cluster redshift z = 0.228,  

Object #2707   x,y = (1322, 3198)   RA, Dec = (06:03:32.784, 42:10:38.28) = (90.88660, 42.17730)   BPZ = 0.025 [0.012--0.752]   type = 11.00 (SB11_A_0_l)   stellarity = 0.81   chisq2 = 455.20   ODDS = 0.54   z_cluster = 0.228