RXS0603+42-S IR detection object #2681

Color images and BPZ results
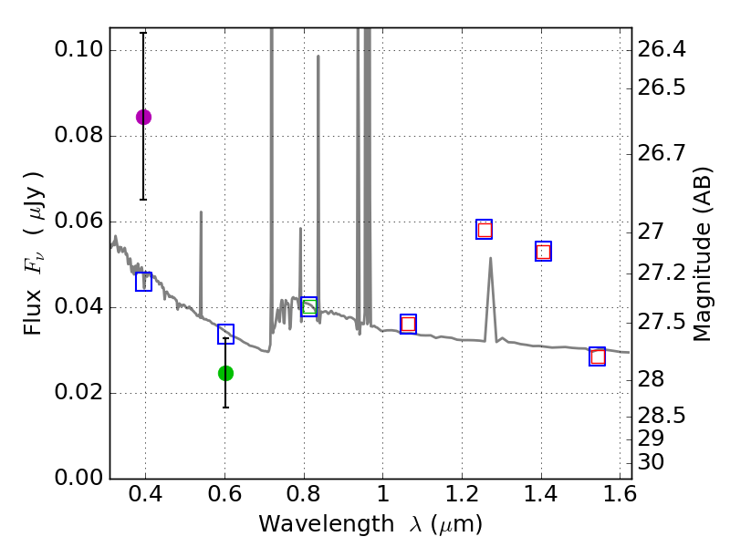
Catalog: 2681.cat
Black segments are analyzed here.   Roll mouse over color images to view segments.
Best viewed in a wide browser window (1200 pixels or more).   Download SED & P(z) plots to view larger versions.
In P(z) plots: Yellow lines mark the cluster redshift z = 0.228,  

Object #2681   x,y = (4228, 3217)   RA, Dec = (06:03:17.088, 42:10:39.36) = (90.82120, 42.17760)   BPZ = 0.935 [0.455--2.536]   type = 11.00 (SB11_A_0_l)   stellarity = 0.51   chisq2 = 4.78   ODDS = 0.10   z_cluster = 0.228