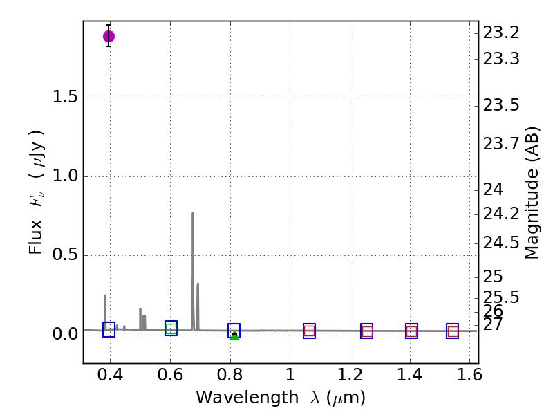
RXS0603+42-S IR detection object #2668

Color images and BPZ results
Catalog: 2668.cat
Black segments are analyzed here.   Roll mouse over color images to view segments.
Best viewed in a wide browser window (1200 pixels or more).   Download SED & P(z) plots to view larger versions.
In P(z) plots: Yellow lines mark the cluster redshift z = 0.228,  

Object #2668   x,y = (1314, 3222)   RA, Dec = (06:03:32.832, 42:10:39.72) = (90.88680, 42.17770)   BPZ = 0.027 [0.013--0.795]   type = 11.00 (SB11_A_0_l)   stellarity = 1.00   chisq2 = 724.30   ODDS = 0.39   z_cluster = 0.228