RXS0603+42-S IR detection object #2658

Color images and BPZ results
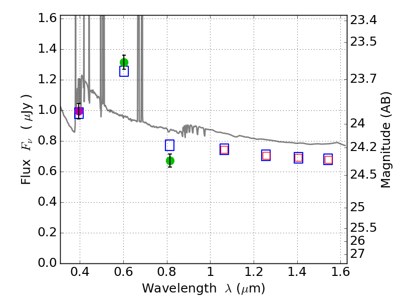
Catalog: 2658.cat
Black segments are analyzed here.   Roll mouse over color images to view segments.
Best viewed in a wide browser window (1200 pixels or more).   Download SED & P(z) plots to view larger versions.
In P(z) plots: Yellow lines mark the cluster redshift z = 0.228,  

Object #2658   x,y = (4161, 3166)   RA, Dec = (06:03:17.448, 42:10:36.12) = (90.82270, 42.17670)   BPZ = 0.021 [0.010--0.044]   type = 11.00 (SB11_A_0_l)   stellarity = 0.30   chisq2 = 1.53   ODDS = 1.00   z_cluster = 0.228