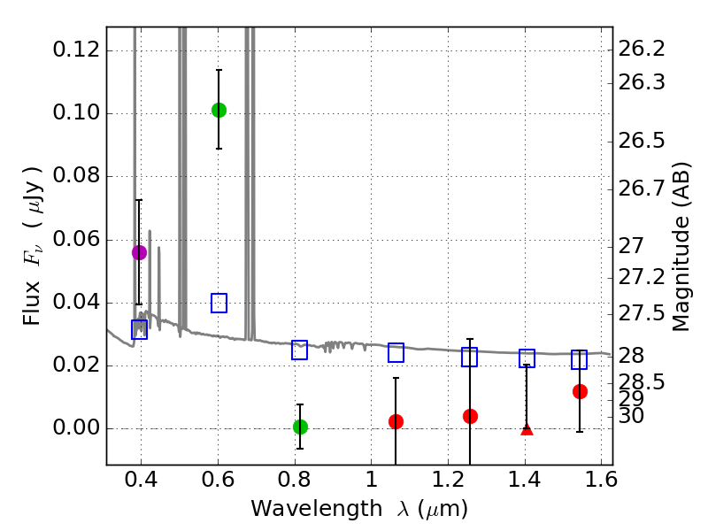
RXS0603+42-S IR detection object #2639

Color images and BPZ results
Catalog: 2639.cat
Black segments are analyzed here.   Roll mouse over color images to view segments.
Best viewed in a wide browser window (1200 pixels or more).   Download SED & P(z) plots to view larger versions.
In P(z) plots: Yellow lines mark the cluster redshift z = 0.228,  

Object #2639   x,y = (2605, 3231)   RA, Dec = (06:03:25.848, 42:10:40.08) = (90.85770, 42.17780)   BPZ = 0.028 [0.026--2.917]   type = 11.00 (SB11_A_0_l)   stellarity = 0.19   chisq2 = 10.25   ODDS = 0.07   z_cluster = 0.228