RXS0603+42-S IR detection object #2589

Color images and BPZ results
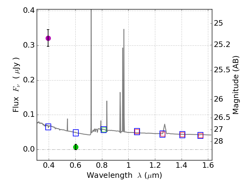
Catalog: 2589.cat
Black segments are analyzed here.   Roll mouse over color images to view segments.
Best viewed in a wide browser window (1200 pixels or more).   Download SED & P(z) plots to view larger versions.
In P(z) plots: Yellow lines mark the cluster redshift z = 0.228,  

Object #2589   x,y = (4277, 3244)   RA, Dec = (06:03:16.824, 42:10:40.80) = (90.82010, 42.17800)   BPZ = 0.930 [0.825--1.994]   type = 11.00 (SB11_A_0_l)   stellarity = 0.78   chisq2 = 130.00   ODDS = 0.26   z_cluster = 0.228