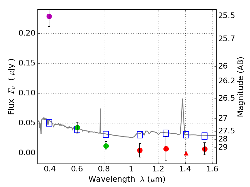
RXS0603+42-S IR detection object #2576

Color images and BPZ results
Catalog: 2576.cat
Black segments are analyzed here.   Roll mouse over color images to view segments.
Best viewed in a wide browser window (1200 pixels or more).   Download SED & P(z) plots to view larger versions.
In P(z) plots: Yellow lines mark the cluster redshift z = 0.228,  

Object #2576   x,y = (2057, 3262)   RA, Dec = (06:03:28.800, 42:10:41.88) = (90.87000, 42.17830)   BPZ = 1.764 [1.561--2.195]   type = 11.00 (SB11_A_0_l)   stellarity = 0.77   chisq2 = 29.86   ODDS = 0.53   z_cluster = 0.228