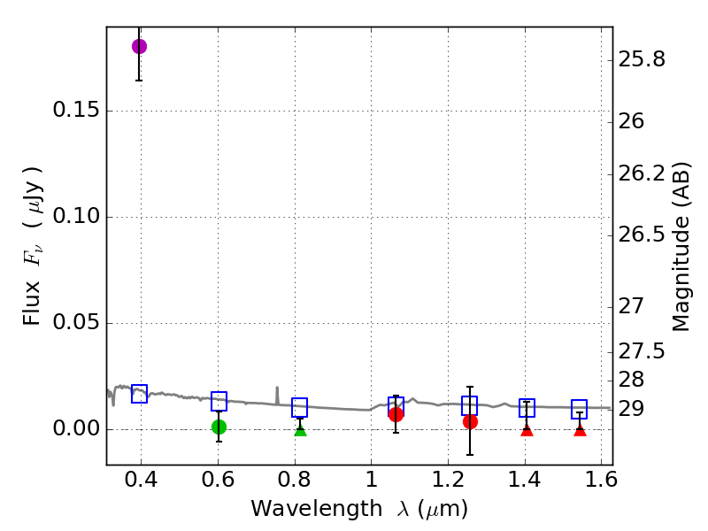
RXS0603+42-S IR detection object #2575

Color images and BPZ results
Catalog: 2575.cat
Black segments are analyzed here.   Roll mouse over color images to view segments.
Best viewed in a wide browser window (1200 pixels or more).   Download SED & P(z) plots to view larger versions.
In P(z) plots: Yellow lines mark the cluster redshift z = 0.228,  

Object #2575   x,y = (2087, 3275)   RA, Dec = (06:03:28.656, 42:10:42.96) = (90.86940, 42.17860)   BPZ = 1.702 [0.520--4.565]   type = 11.00 (SB11_A_0_l)   stellarity = 0.73   chisq2 = 26.33   ODDS = 0.24   z_cluster = 0.228