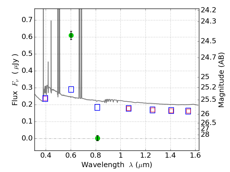
RXS0603+42-S IR detection object #252

Color images and BPZ results
Catalog: 252.cat
Black segments are analyzed here.   Roll mouse over color images to view segments.
Best viewed in a wide browser window (1200 pixels or more).   Download SED & P(z) plots to view larger versions.
In P(z) plots: Yellow lines mark the cluster redshift z = 0.228,  

Object #252   x,y = (2492, 4238)   RA, Dec = (06:03:26.448, 42:11:40.56) = (90.86020, 42.19460)   BPZ = 0.017 [0.010--0.033]   type = 11.00 (SB11_A_0_l)   stellarity = 1.00   chisq2 = 162.30   ODDS = 1.00   z_cluster = 0.228