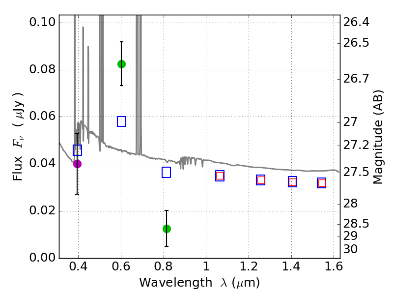
RXS0603+42-S IR detection object #2483

Color images and BPZ results
Catalog: 2483.cat
Black segments are analyzed here.   Roll mouse over color images to view segments.
Best viewed in a wide browser window (1200 pixels or more).   Download SED & P(z) plots to view larger versions.
In P(z) plots: Yellow lines mark the cluster redshift z = 0.228,  

Object #2483   x,y = (3955, 3400)   RA, Dec = (06:03:18.576, 42:10:50.16) = (90.82740, 42.18060)   BPZ = 0.028 [0.017--2.926]   type = 11.00 (SB11_A_0_l)   stellarity = 0.36   chisq2 = 13.90   ODDS = 0.17   z_cluster = 0.228