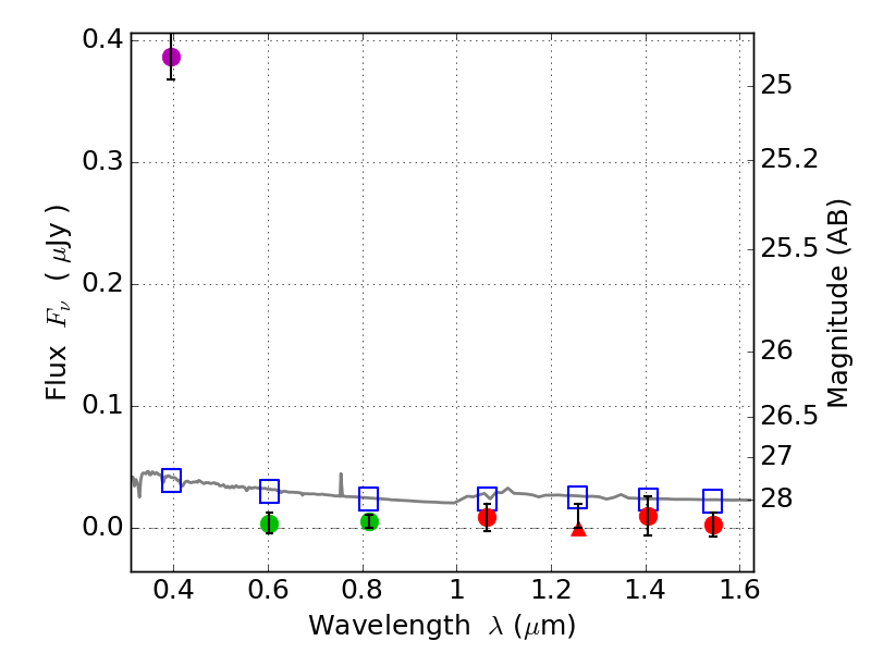
RXS0603+42-S IR detection object #2475

Color images and BPZ results
Catalog: 2475.cat
Black segments are analyzed here.   Roll mouse over color images to view segments.
Best viewed in a wide browser window (1200 pixels or more).   Download SED & P(z) plots to view larger versions.
In P(z) plots: Yellow lines mark the cluster redshift z = 0.228,  

Object #2475   x,y = (1669, 3311)   RA, Dec = (06:03:30.912, 42:10:45.12) = (90.87880, 42.17920)   BPZ = 1.700 [1.417--2.075]   type = 11.00 (SB11_A_0_l)   stellarity = 0.64   chisq2 = 86.59   ODDS = 0.60   z_cluster = 0.228